• Предмет: Алгебра
  • Автор: Skautssg08
  • Вопрос задан 3 года назад

Помогите пожалуйста. Алгебра 9 класс

Приложения:

Ответы

Ответ дал: vlajong
1

Ответ:

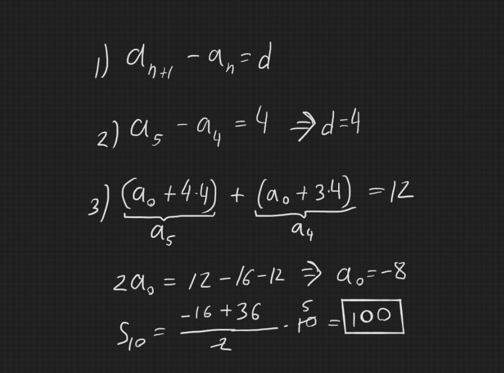
вот надо вспомнить если мы будем вычитать два соседних члена получим разность прогрессии после распишим сумму через формулу an=a0+(n-1)*d

и выразим от туда a0

после найдем сумму по известной формуле

Объяснение:

Приложения:

Skautssg08: Спасибо большое! А вы не знаете ещё способы решения? Если есть ещё варианты буду благодарен)
Вас заинтересует