Ответы
Ответ дал:
1
Ответ:
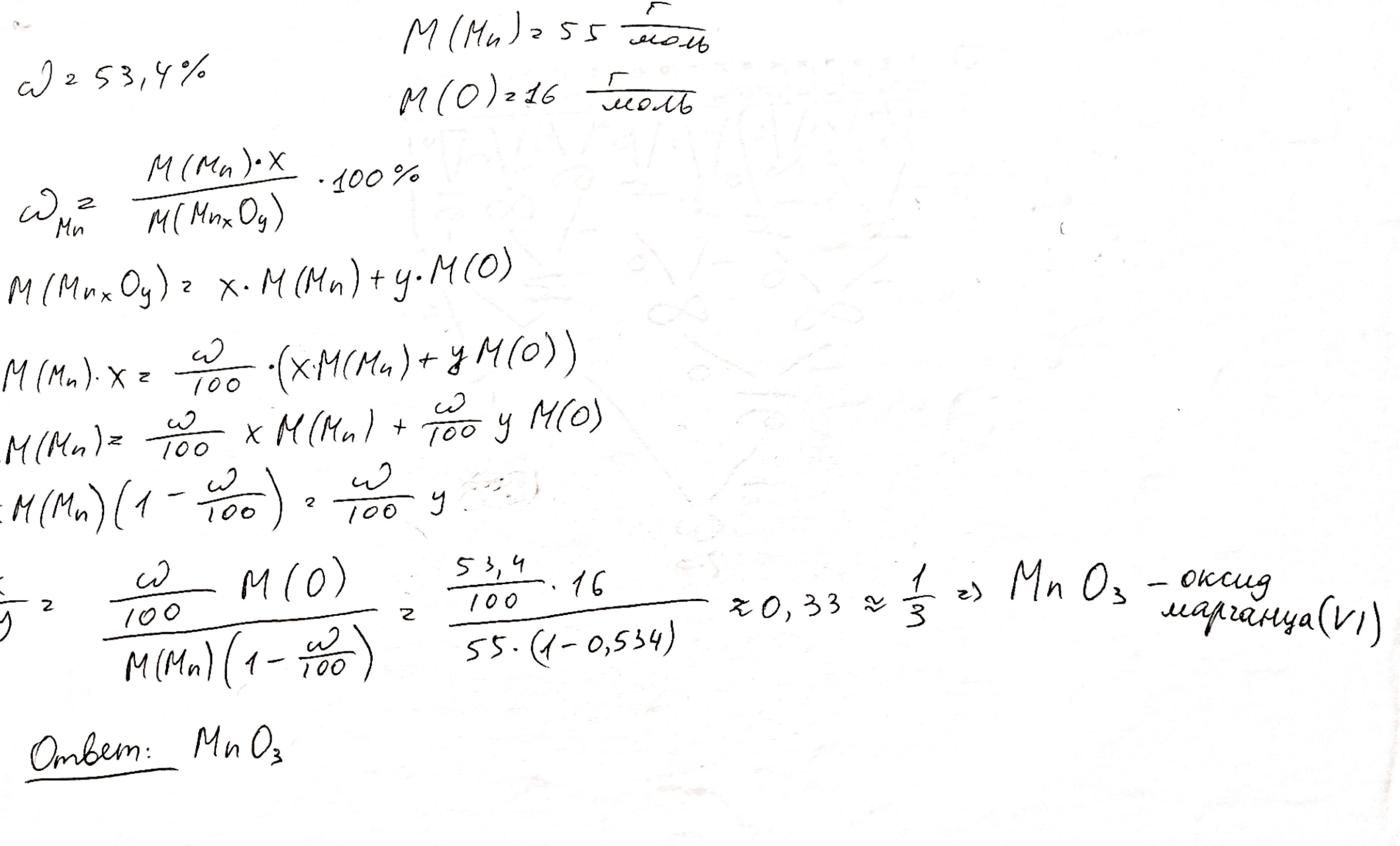
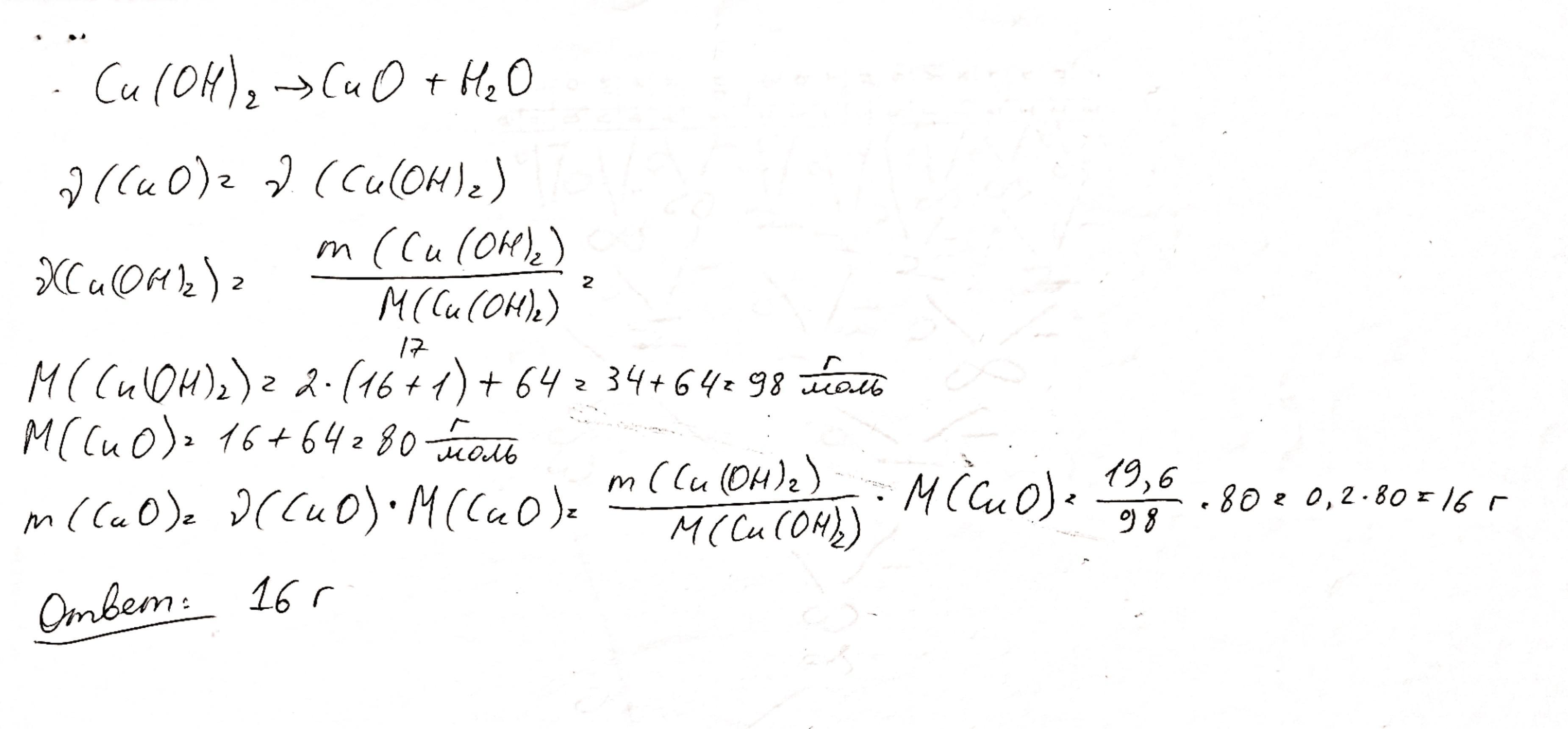
см рис
Объяснение:
Приложения:


Вас заинтересует
2 года назад
2 года назад
2 года назад
2 года назад
9 лет назад