• Предмет: Алгебра
  • Автор: leomeard
  • Вопрос задан 3 года назад

Я вас умоляю помогите

Приложения:

Ответы

Ответ дал: gunay8285
0

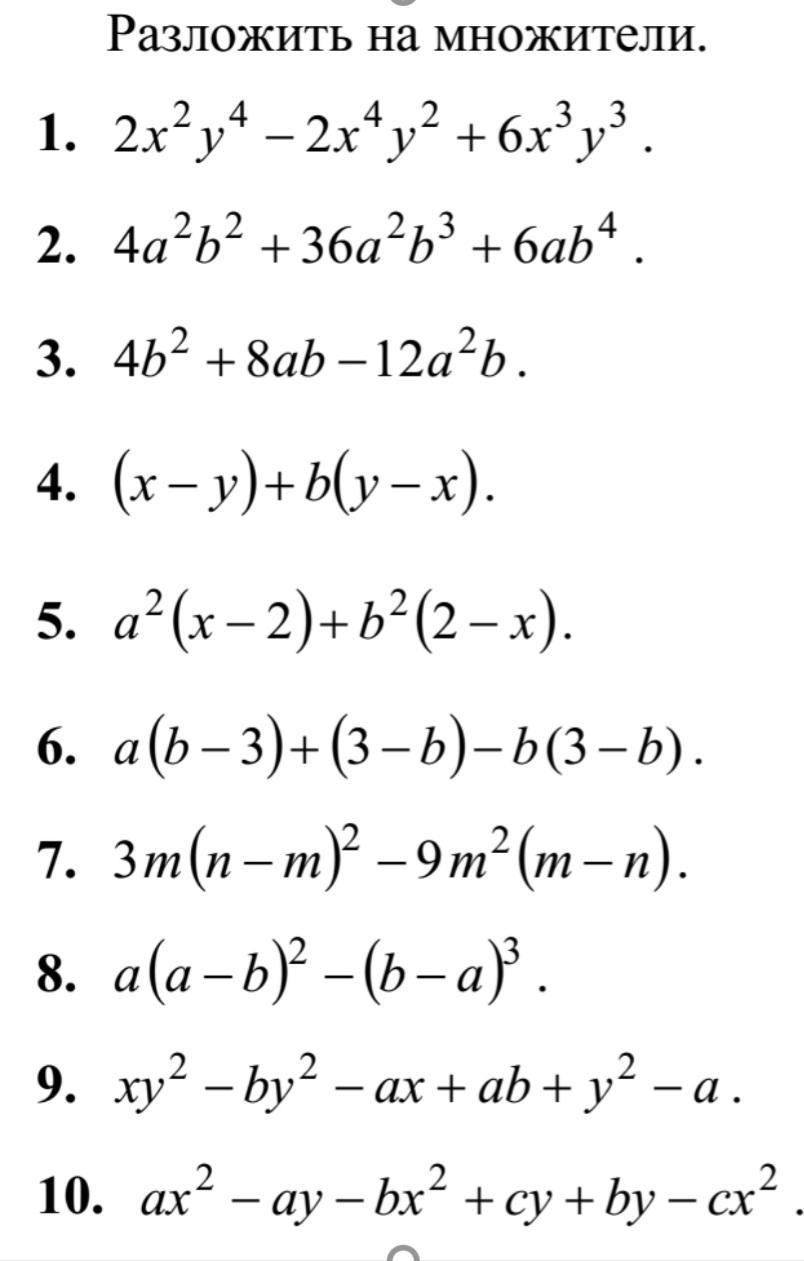
1. 2x²y⁴ - 2x⁴y² + 6x³y³ = 2х²у² × (у² - х² + 3ху)

2. 4a²b² + 36a²b³ + 6ab⁴ = 2ab² × (2a + 18ab + 3b²)

3. 4b² + 8ab - 12a²b = 4b × (b + 2a - 3a²)

4. (x - y) + b(y - x) = (x - y) × (1 - b)

5. a² (x - 2) + b²(2 - x) = (x - 2) × (a - b) × (a + b)

6. a (b - 3) + (3 - b) - b (3 - b) = (b - 3) × (a - 1 + b)

7. 3m(n - m)² - 9m²(m - n) = 3m × (n - m) × (n + 2m)

8. a(a - b)² - (b - a)³ = (a - b)² × (2a - b)

9. xy² - by² - ax + ab + y² - a = (x - b + 1) × (y² - a)

10. ax² - ay - bx² + cy + by + cx² = (a - b - c) × (x² - y)

отметь пожалуйста мой ответ коронкой как лучший ответ

Вас заинтересует