• Предмет: История
  • Автор: artpol1105
  • Вопрос задан 3 года назад

пжжжж срочно
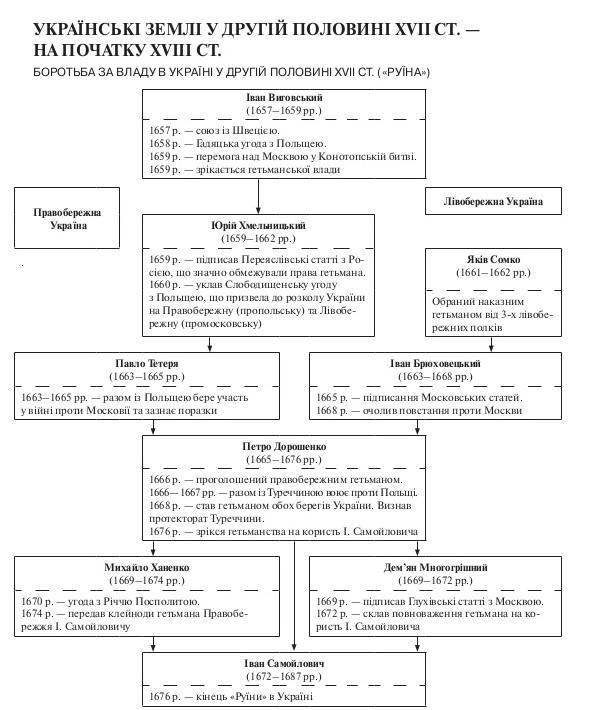
хронологічна таблиця доби Руїни​

Ответы

Ответ дал: chamariya2002
1

Відповідь:

Пояснення:

Приложения:
Вас заинтересует