• Предмет: Математика
  • Автор: KennyArgent
  • Вопрос задан 3 года назад

Интегралы. Помогите !!

Приложения:

Ответы

Ответ дал: Miroslava227
1

Ответ:

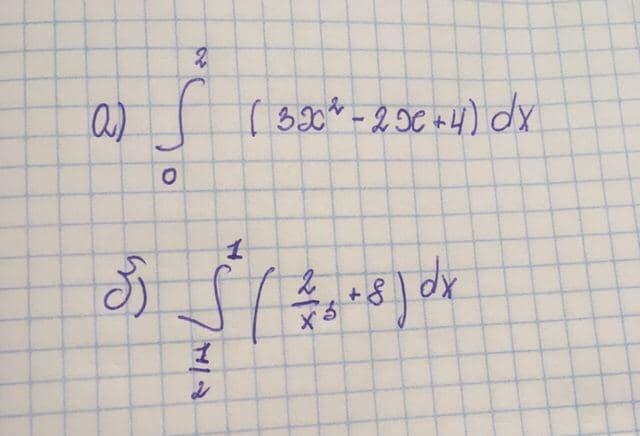
a

\int\limits^{ 2} _ {0}(3 {x}^{2} - 2x + 4)dx = ( \frac{3 {x}^{3} }{3} -  \frac{2 {x}^{2} }{2} + 4x)   | ^{2} _ {0} =  \\  = ( {x}^{3} -  {x}^{2}  + 4x) | ^{2} _ {0} =  \\  = 8 - 4 + 8 - 0 = 12

б

\int\limits^{ 1 } _ { \frac{1}{2} }( \frac{2}{ {x}^{3} } + 8)dx =  \int\limits^{ 1} _ { \frac{1}{2} }(2 {x}^{ - 3} + 8)dx =  \\  = ( \frac{2 {x}^{ - 2} }{( - 2)}  + 8x) | ^{1} _ { \frac{1}{2} } =  ( -  \frac{1}{ {x}^{2} } + 8x) | ^{1} _ { \frac{1}{2} } =  \\  =  - 1 + 8 - ( - 4 + 4) = 7


polinalyuft: Пожалуйста помоги мне на моей странице СОЧ!ПРОШУ!
polinalyuft: Пожалуйста помоги мне на моей странице СОЧ!ПРОШУ!!!
polinalyuft: Пожалуйста помоги мне на моей странице СОЧ!ПРОШУ!!
polinalyuft: Пожалуйста помоги мне на моей странице СОЧ!ПРОШУ!умоляю
Вас заинтересует