• Предмет: Алгебра
  • Автор: irinabeliyanina
  • Вопрос задан 3 года назад

помогитте пожалуйста
это очень срочно!!!!​

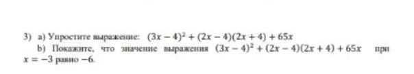
Приложения:

Ответы

Ответ дал: lenai8125
1

Ответ:

9x^{2}-24х+16+4x^{2}-16+65х=13x^{2}+41х=х(13х+41)

при х=-3

-3*(13*(-3)+41)=-3*2=-6

Объяснение:

Вас заинтересует