• Предмет: Алгебра
  • Автор: Dreed001
  • Вопрос задан 3 года назад

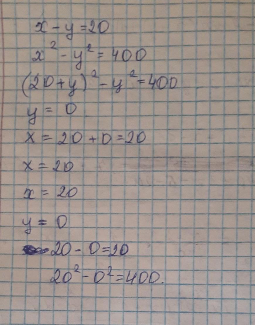
Разность двух чисел равна 20, а разность их квадратов 400. Найдите эти числа

Ответы

Ответ дал: malika060891
0

Ответ:

1 числа = 20

2 числа = 0

.....

Приложения:
Вас заинтересует