Ответы
Ответ дал:
6
Ответ:
b=1/12
Уравнение касательное в общем виде записывается как:
y=kx+b, где
k - угловой коэффициент касательной
k=f'(x₀), где х₀ точка касания
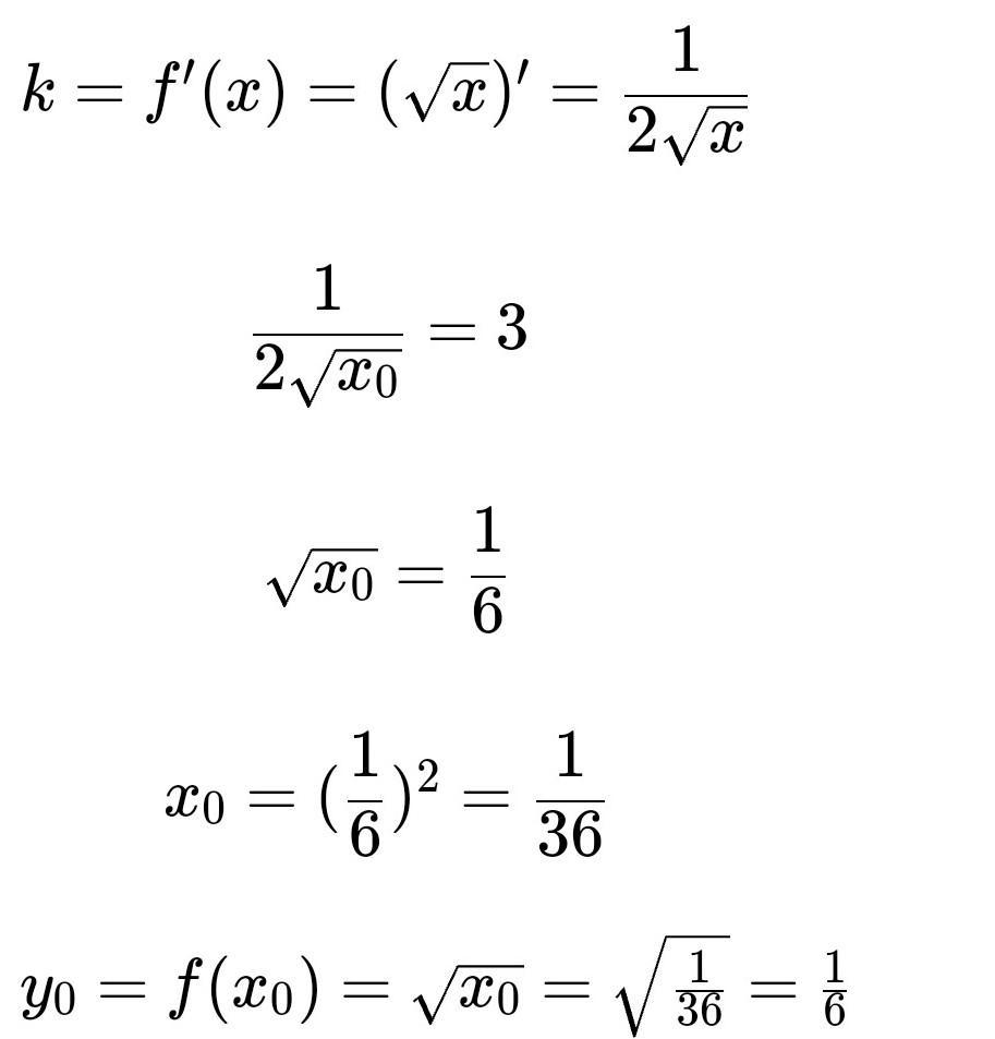
Для уравнения касательной у=3x+b.
k=3 или (на фото)
Приложения:

tmkanov:
просто написать то что на фото?
Вас заинтересует
2 года назад
2 года назад
2 года назад
8 лет назад
9 лет назад
9 лет назад