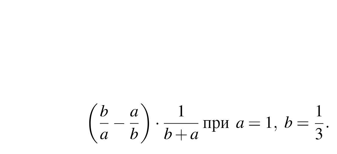
Найдите значение выражения
Приложения:


Аноним:
девочка
Ответы
Ответ дал:
0
Ответ:
пусть а= х, в=у
1
2
Вас заинтересует
2 года назад
2 года назад
2 года назад
8 лет назад
8 лет назад