• Предмет: Алгебра
  • Автор: dinaandreewna
  • Вопрос задан 11 лет назад

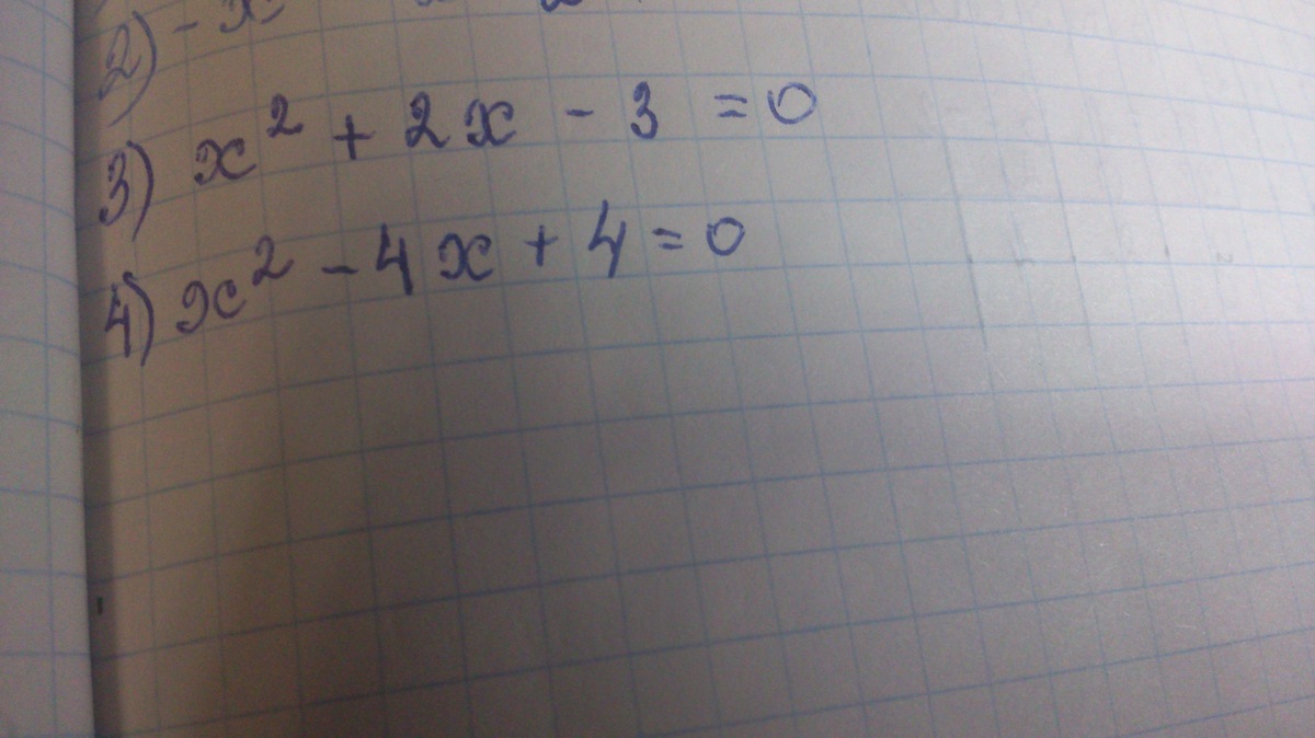
решить уравнение и построить график

Приложения:

Ответы

Ответ дал: perkalyukvika
0
и так выходит по два уравнения.Надеюсь ты  знаешь как дальше?
Приложения:
Ответ дал: dinaandreewna
0
да,спасибо:)
Вас заинтересует