• Предмет: Алгебра
  • Автор: sh1r
  • Вопрос задан 3 года назад

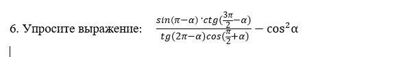
Упросите выражение: ( sin⁡(π-α) ·ctg(3π/2-α))/( tg(2π-α)cos(π/2+α))-cos^2 α

Приложения:

Ответы

Ответ дал: Miroslava227
0

Ответ:

 \frac{ \sin(\pi  - \alpha ) \times ctg( \frac{3\pi}{2}  - \alpha )  }{tg(2\pi  - \alpha ) \times  \cos( \frac{ \pi}{2}   + \alpha ) }  -  \cos {}^{2} ( \alpha )  =  \\  =  \frac{ \sin( \alpha )  \times tg( \alpha )}{( - tg (\alpha )) \times  ( - \sin( \alpha )) }  -  \cos {}^{2} ( \alpha )  =  \\  = 1 -  \cos {}^{2} ( \alpha ) =   \sin {}^{2} ( \alpha )


drug123433: можете мне Помочь?
Вас заинтересует