• Предмет: Математика
  • Автор: foxkot751
  • Вопрос задан 3 года назад

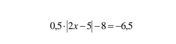
решите уравнение
пожалуйста​

Приложения:

Ответы

Ответ дал: lenai8125
1

Ответ:

0.5|2x-5|=-6.5+8

0.5|2x-5|=1.5

|2x-5|=1.5:0.5

|2x-5|=3

2x-5=3 или 2х-5=-3

2х=8               2х=2

х=4                   х=1

Пошаговое объяснение:


foxkot751: спасибо!
Вас заинтересует