• Предмет: Математика
  • Автор: ladygigi
  • Вопрос задан 3 года назад

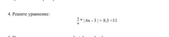
Решите уравнение 3/4 * | 6х - 3 | + 8,3 =11
Помогите пожалуйста

Приложения:

Ответы

Ответ дал: rudemak
8

Ответ:

Пошаговое объяснение:

3/4 * | 6х - 3 | + 8,3 =11

3/4 * | 6х - 3 | =11-8.3

3/4 * | 6х - 3 | =2.7

|6x-3|=2.7: 3/4

|6x-3|=2.7*4/3

|6x-3|=3.6

6x-3=3.6          6x-3=-3.6

6x=3.6+3          6x=-3.6+3

6x=6.6              6x=-0.6

x=1.1                   x=-0.1


ladygigi: СПАСИБО БОЛЬШОЕ!
Adelyam75: спс
Yasmin055: Аделяма привет ещё раз
zyldyznurgazy: привет аделям
Вас заинтересует