• Предмет: Алгебра
  • Автор: TheBest16
  • Вопрос задан 11 лет назад

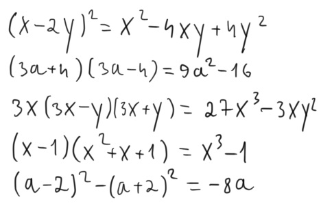
Представьте в виде многочлена:
(x-2y)^2
(3a+4)(3a-4)
3x(3x-y)(3x+y)
(x-1)(x^2+x+1)
(a-2)^2-(a+2)^2

Ответы

Ответ дал: nikolac
0
Решение на картинке.
Приложения:
Вас заинтересует