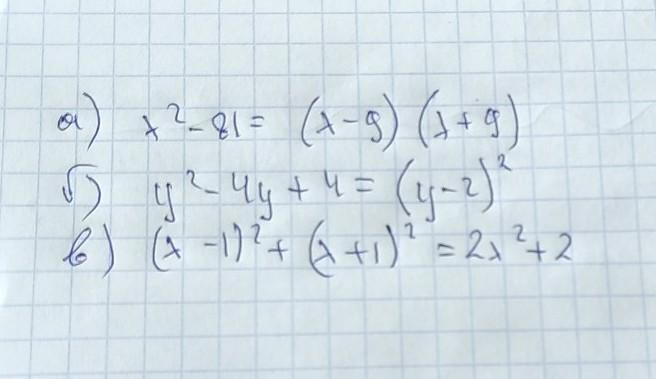
Разложите на множители:
а) х2 – 81;
6)y2 – 4y + 4;
В) (х – 1)2 + (х + 1)2 .
пожалуйста помогите соч
Приложения:

Ответы
Ответ дал:
8
Ответ:
На картинке
Пошаговое объяснение:
На картинке
Приложения:

akylbekkapiat:
правильно?
Вас заинтересует
2 года назад
2 года назад
2 года назад
8 лет назад
8 лет назад
9 лет назад
9 лет назад