• Предмет: Математика
  • Автор: arestozorbs
  • Вопрос задан 3 года назад

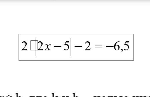
. Решите уравнение:



Приложения:

Ответы

Ответ дал: ildar502020
1

Ответ:   Нет корней.

Пошаговое объяснение:

2 |2x-5|-2=-6.5;

 |2x-5|-2=-6.5 :2;

 |2x-5|-2=-3,25;

 |2x-5| = -3,25 + 2;

 |2x-5| = - 1.25;

Так как значения модуля не может быть отрицательным, делаем вывод:  Нет корней.


arestozorbs: СПАСИБО
Вас заинтересует