• Предмет: Алгебра
  • Автор: lerochkaaales
  • Вопрос задан 10 лет назад

срочно
нужно просто решить этот пример .
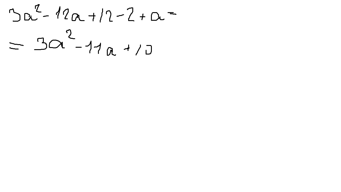
3(а-2)^2-(2-а) 

Ответы

Ответ дал: Ekaterina1819
0
Получится вот так :)
Приложения:
Ответ дал: lerochkaaales
0
нужно представить выражение в виде произведения двух многочленов тоесть вынести общ множ за скобку
Вас заинтересует