• Предмет: Алгебра
  • Автор: Аноним
  • Вопрос задан 3 года назад

Алгебра 7 класс ......Срочно все на фото​

Приложения:

Ответы

Ответ дал: NNNLLL54
1

Ответ:

3)\ \ x=-3\\\\(2x-5)^2-(3x-2)(3x+2)+15x=4x^2-20x+25-(9x^2-4)+15x=\\\\=-5x^2-5x+29=-5\cdot 9+5\cdot 3+29=-1

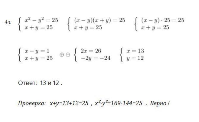
4б)  Стоимость помидор = х тг, а огурцов = у тг .  Составим систему.

\left\{\begin{array}{l}x-y=250\\3x+3y=11250\end{array}\right\ \ \left\{\begin{array}{l}x-y=250\\x+y=3750\end{array}\right\ \oplus \ominus \ \left\{\begin{array}{l}2x=4000\\-2y=-3500\end{array}\right\ \ \left\{\begin{array}{l}x=2000\\y=1750\end{array}\right

Ответ:  помидоры стоили 2000 тг, а огурцы -  1750 тг .

Приложения:

Аноним: Я 1 кто нажал спс
Вас заинтересует