• Предмет: Алгебра
  • Автор: evgesha22862
  • Вопрос задан 3 года назад

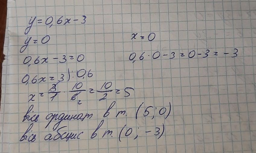
не виконуючи побудови знайти координати точок перетину графіка функції y=0,6x-3 з осями координат

Ответы

Ответ дал: inessayurkiv
4

Ответ:

на фото, що не зрозуміло запитуйте!

Приложения:
Вас заинтересует