• Предмет: Алгебра
  • Автор: Sardar444
  • Вопрос задан 3 года назад

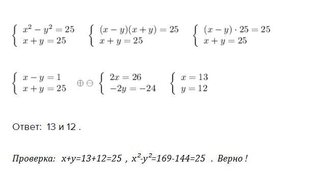
Разность квадратах двух чисел равна 25, а сумма этих чисел равна25. Найдите эти числа?​

Приложения:

Ответы

Ответ дал: NNNLLL54
1

..................................................................................................................................

Приложения:
Вас заинтересует