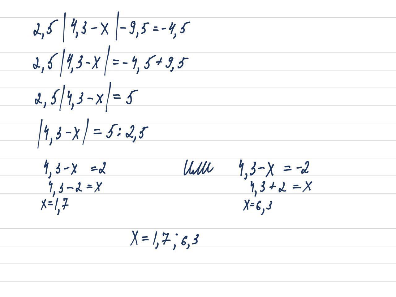
помогите решить уравнение 2,5 | 4,3 - x | - 9,5= -4,5
Аноним:
A (-2 : 3) ; B (3 : 2) ; C (-1:4) ; D (6 : 3)
Ответы
Ответ дал:
1
Ответ:
Смотри прикреплённое фото
Пошаговое объяснение:
Приложения:

Вас заинтересует
2 года назад
2 года назад
2 года назад
2 года назад
8 лет назад
9 лет назад
9 лет назад