• Предмет: Математика
  • Автор: Katyashormanbyeva
  • Вопрос задан 3 года назад

ПОЖАЛУЙСТА СРОЧНО ДАМ 30 БАЛЛОВ ​

Приложения:

Ответы

Ответ дал: jekadva
0

Ответ:

x = 15

Пошаговое объяснение:

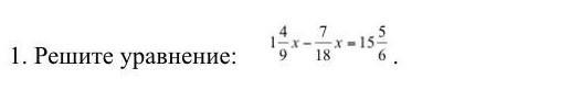
(1 4/9)x - (7/18)x = 15 5/6

(13/9)x - (7/18)x = 95/6

26x - 7x = 285

19x = 285

x = 285:19

x = 15

Вас заинтересует