• Предмет: Математика
  • Автор: ainizausonbekova2008
  • Вопрос задан 3 года назад

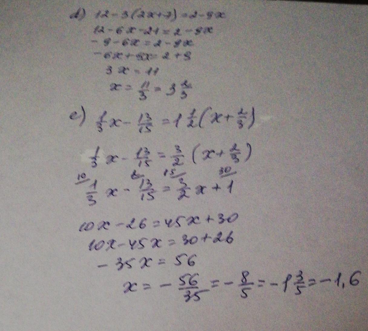
Решите уравнение!Пожалуйста помогите!​

Приложения:

Ответы

Ответ дал: serovaksusa1
1

Ответ:

Смотри решение на фото

Приложения:

serovaksusa1: под буквой Ся сразу перевела смешанную дробь в неправильную, посмотрите тогда
serovaksusa1: Я имею ввиду дробь 1 3/14 перевела в 17/14
ainizausonbekova2008: спасибо большое
Вас заинтересует