• Предмет: Математика
  • Автор: Аноним
  • Вопрос задан 3 года назад

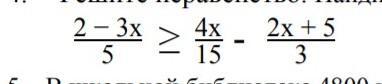
Решите неравенство. Найдите наибольшее целое решение неравенства.​

Приложения:

Ответы

Ответ дал: lakOR555
0

Ответ:

10

Пошаговое объяснение:

умножить все на 15, чтобы избавиться от дробей

3 * (2-3х) ≥ 4х - 5 * (2х+5)

6 - 9х ≥ 4х - 10х - 25

6 - 9х ≥ -6х - 25

-9х - (-6х) ≥ -25 - 6

-3х ≥ -31

х ≥ -31/-3

х≤ 10 целых 1/3

Вас заинтересует