• Предмет: Алгебра
  • Автор: kitorimaoutoushinaga
  • Вопрос задан 3 года назад

Помогите с алгеброй, срочно

Приложения:

Ответы

Ответ дал: palilov243659
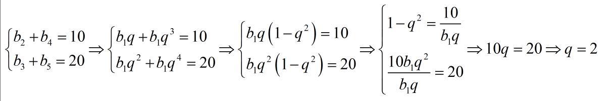
1

Ответ:

2

Объяснение:

////////////////////////

Приложения:
Вас заинтересует