Ответы
Ответ дал:
1
Ответ:
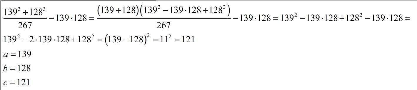
a=139
b=128
c=121
Приложения:

vladdl:
спасибо огромное
Вас заинтересует
2 года назад
2 года назад
2 года назад
8 лет назад
8 лет назад
9 лет назад
9 лет назад