• Предмет: Математика
  • Автор: olga5357
  • Вопрос задан 3 года назад

Помогоите Умоляю!!! Пошагово,
Вторая фотка- это не правильно

Приложения:

Ответы

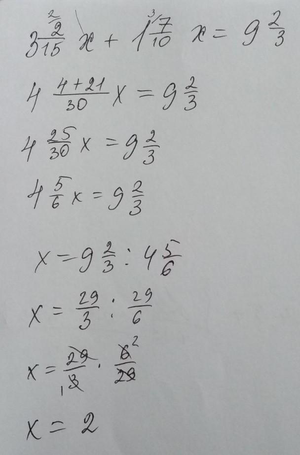
Ответ дал: gggarbakov
1

Ответ:

Смотри решение на фото

Пошаговое объяснение:

На лучший ответ

Приложения:
Ответ дал: kseniya849
1

Ответ:

вот

Пошаговое объяснение:

Приложения:
Вас заинтересует