• Предмет: Алгебра
  • Автор: ЛизкаV
  • Вопрос задан 10 лет назад

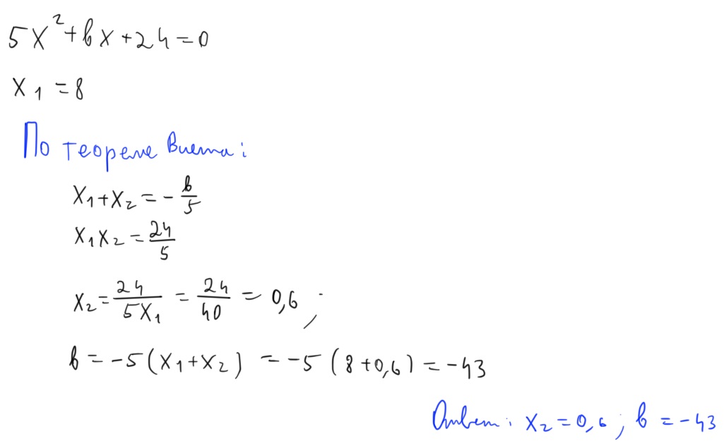
Один из корней уравнения 5х²+bх+24=0 равен 8.Найдите другой корень и коэффициент b.
Напишите полностью решение пожалуйста!!!!)

Ответы

Ответ дал: nikolac
0
Решение на картинке.
Приложения:
Вас заинтересует