• Предмет: Алгебра
  • Автор: Poli2020
  • Вопрос задан 3 года назад

СРОЧНО РЕШИТЬ ДАЮ 100 БАЛЛОВ

Приложения:

Ответы

Ответ дал: Miroslava227
1

Ответ:

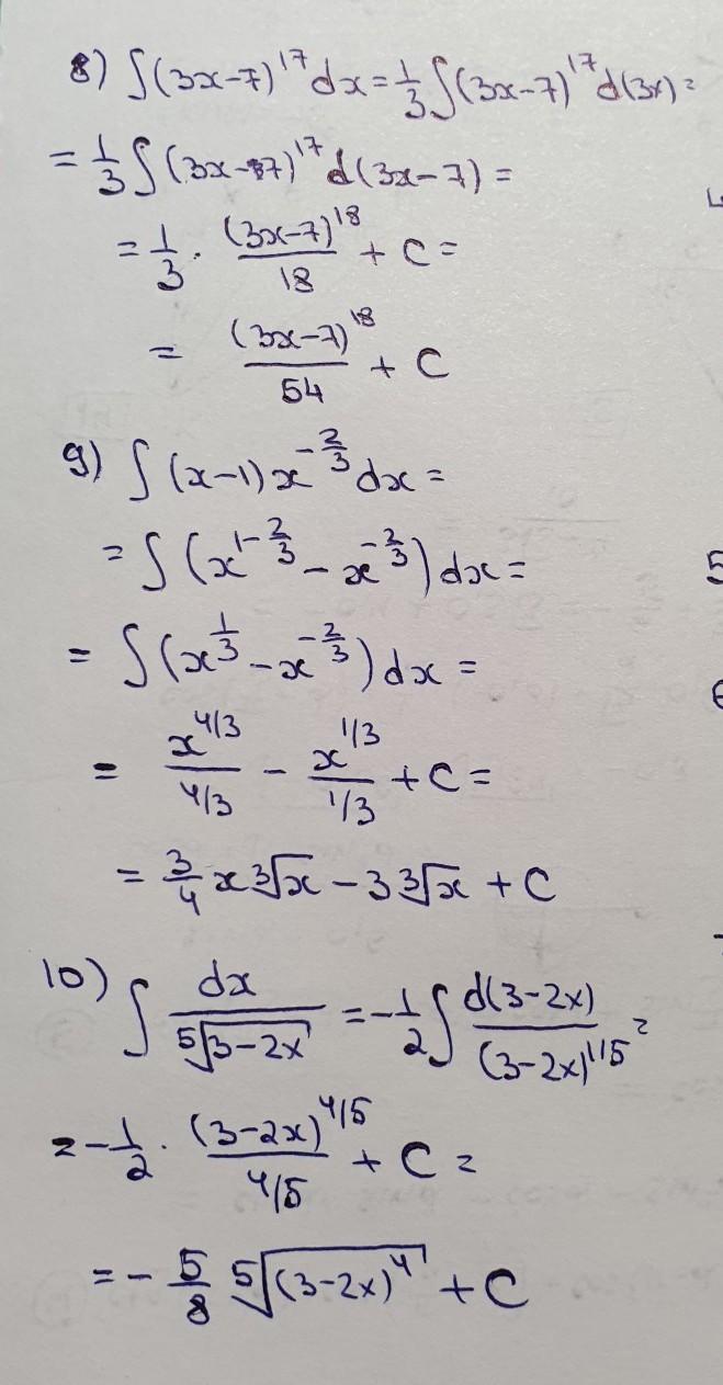
решение на фотографиях

Приложения:

grattttt: можете помочь ?
grattttt: https://znanija.com/task/43422026
Вас заинтересует