Пожалуйста быстрее решите умоляю
Нужно подробное и полное решение на листочке
                        
                                    Приложения:
                     
                            
                    solovevfedor245:
                    Ответ будет -1
                
            
                    
                    Но мне нужно полное, подробное решение с объяснением
                
            
                    
                    Пожалуйста быстрее умоляю вас, вопрос жизни и смерти
                
            Ответы
                                            Ответ дал: 
                                                                                            
                                                    
                                                
                                                                                    
                                        
                                            
                                                
                                                
                                                
                                                    1
                                                
                                            
                                        
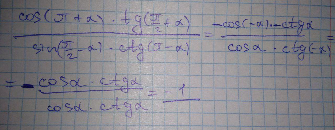
                                    Вот и ответ. Во вложении он находится:
Сначала смотреть, есть ли деление на 2, если есть - функция меняется на парную (sin на cos и наоборот, tg на ctg и наоборот).
Потом посмотреть на четверть. π + a, к примеру, лежит от 180 до 270 градусов (по умолчанию альфа от 0 до 90). В этом промежутке sin и cos отрицательные, это третья четверть. А в первой четверти sin положительный. Поэтому sin(π + a) превратится в -sin(a).
Приложения:
                     
                            
                    
                    Спасибо большое за помощь
                
            
                    
                    Формулы приведения несложно запомнить, на самом деле
                
            
                    
                    Пожалуйста большое, отметьте как лучший
                
            
                    
                    Я не могу,т.к. нет второго решения
                
            Вас заинтересует
                
                        2 года назад
                    
                
                        2 года назад
                    
                
                        2 года назад
                    
                
                        8 лет назад
                    
                
                        8 лет назад
                    
                
                        9 лет назад
                    
                
                        9 лет назад