• Предмет: Математика
  • Автор: Ggvp228hurmannndn
  • Вопрос задан 3 года назад

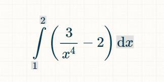
Вычислить интергал по шагам.

Приложения:

Ответы

Ответ дал: mashasova031
0
Это 1, а дальше я ещё скину фото, просто тут надо ещё на 20 символов написать, а все фото разом не получится отправить
Приложения:

mashasova031: Ещё и ссылку не дают вставить
mashasova031: Вот заразы
Ggvp228hurmannndn: айди просто напиши
mashasova031: Я короче Маша Овчинникова
Ggvp228hurmannndn: айди, после ссылки на вк который
Ggvp228hurmannndn: после слэша
mashasova031: Ок
mashasova031: abokadooo
mashasova031: Это?
Ggvp228hurmannndn: да
Вас заинтересует