• Предмет: Алгебра
  • Автор: alinad777
  • Вопрос задан 3 года назад

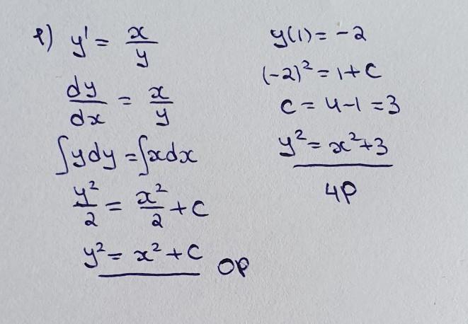
найдите частное решение дифференциального уравнения: ​1 и 3 примеры

Приложения:

Ответы

Ответ дал: Miroslava227
1

Ответ:

решение на фотографиях

Приложения:

alinad777: спасибо большое
Вас заинтересует