• Предмет: Алгебра
  • Автор: Аноним
  • Вопрос задан 3 года назад

Бу + 7y – 0,024 = 0,204;
2,4x – 1,5x + 47 = 1919;
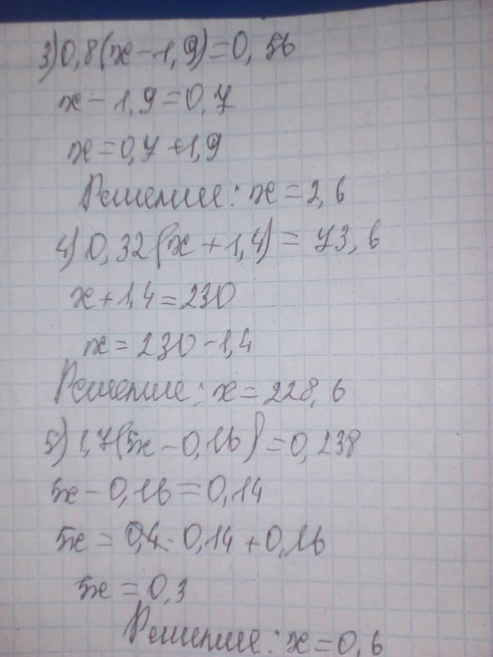
0,8 (x – 1,9) = 0,56;
0,32 (x + 1,4)= 73,6;
1,7 (5x – 0,16) = 0,238;
;
0,8 (100 – 0,04x) = 8,64;
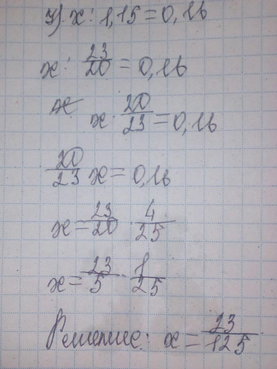
х: 1,15 = 0,16;​


tatsach: Бу как понять это
Аноним:
tatsach: Исправьте

Ответы

Ответ дал: erpacikal
1

Ответ:

надеюсь что правильно ))

Приложения:
Вас заинтересует