• Предмет: Алгебра
  • Автор: AnnHaylen
  • Вопрос задан 3 года назад

Решите 3 задачи (первый вариант) на построение графиков и нахождение области определения.

Приложения:

Ответы

Ответ дал: lutskovairina8339
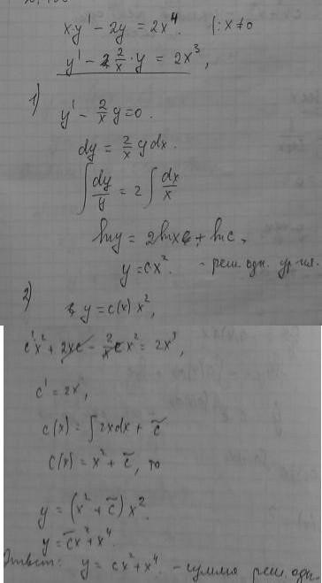
1

Объяснение:

но не уверена , мб не тот пример...

Приложения:
Ответ дал: heightop
1

Ответ: привет)

Объяснение: ответы на фото

Приложения:

AnnHaylen: Привет, фото не прогрузилось(
heightop: Сейчас должны быть)
Вас заинтересует