• Предмет: Математика
  • Автор: jankooo
  • Вопрос задан 3 года назад

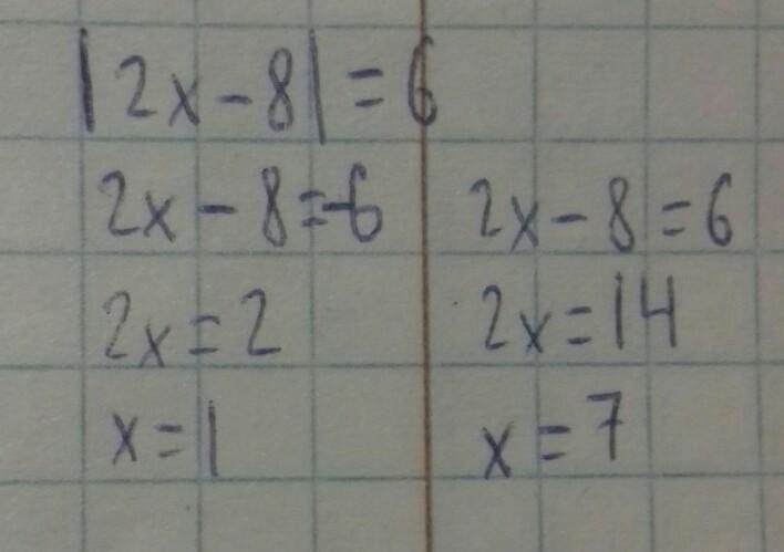
|2х-8|=6. СРОЧНО помогите ​

Ответы

Ответ дал: EpicSans08
1

Ответ:

Ответ на фото

Пошаговое объяснение:

Ответ на фото

Приложения:
Вас заинтересует