Ответы
Ответ дал:
0
Ответ:
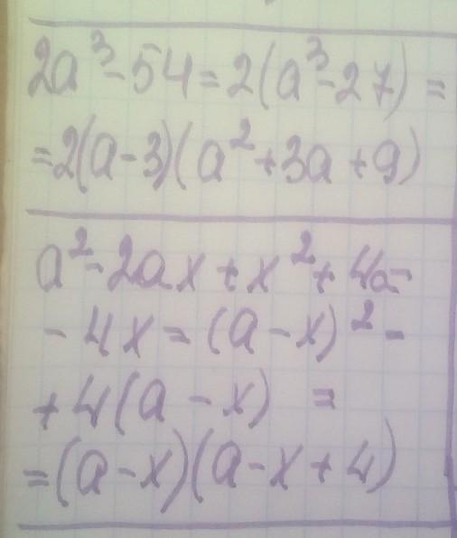
решение смотри на фотографии
Приложения:

Ответ дал:
3
Ответ:
2a³-54=2(a³-27)=2(a-3)(a²+3a+9) ;
a²-2ax+x²+4a-4x=(a-x)²+4(a-x)=(a-x)(a-x+4).
Вас заинтересует
2 года назад
2 года назад
8 лет назад
8 лет назад
9 лет назад