Ответы
Ответ дал:
1
Ответ:
23*23+56*23=1817.....
alanaliarnur:
спс
не, че-то не то) какой смысл тупо пермножать и складывать числа?
Должен как минимум использоваться закон "вынесения общего множителя за скобки".
Ребята, вам задачи не рандомно даются, а с целью проверки усвоенной информации)
Если видите, что пример решается "тупо", это скорее всего не пример тупой, а решаете не верно.
Должен как минимум использоваться закон "вынесения общего множителя за скобки".
Ребята, вам задачи не рандомно даются, а с целью проверки усвоенной информации)
Если видите, что пример решается "тупо", это скорее всего не пример тупой, а решаете не верно.
А ты что написал "помогите решить пример 23*23 а там надо было 24*23 не ну молодец
Вообще-то это не я задание скинул, кек)
Более того "я переиграл переигрывание" автора и решил так как должно было решаться xD пхах. Решение и ответ ниже, если что.
Ответ дал:
0
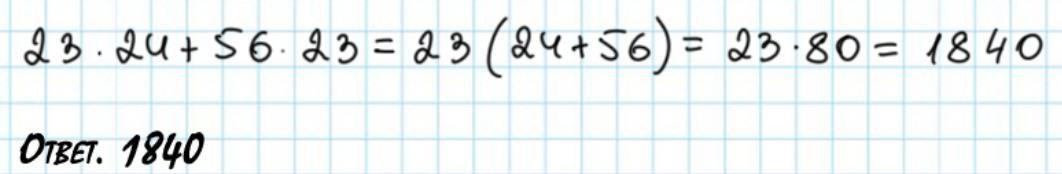
Ответ:
1840
Пошаговое объяснение:
В Вашем оформлении скорее всего ошибка.
Сделал более логичным пример.
Приложения:
Вас заинтересует
2 года назад
3 года назад
3 года назад
8 лет назад
8 лет назад
10 лет назад
10 лет назад