Ответы
Ответ дал:
1
Ответ:
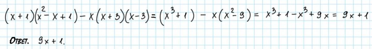
Ответ на картинке
Пошаговое объяснение:
Используется формулы: Сумма кубов и разность квадратов.
Приложения:

Вас заинтересует
2 года назад
2 года назад
2 года назад
8 лет назад
8 лет назад
9 лет назад