Ответы
Ответ дал:
0
ответ
еадеюсь помог если не правильнол не судите
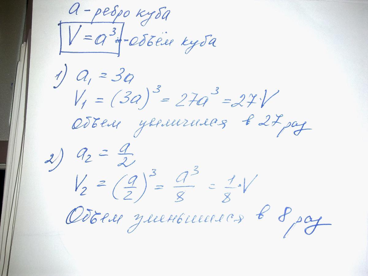
Приложения:

Ответ дал:
0
Объяснение:
S=a³
1) 3x
S=a³=(3x)³=27x³
2) x/4
S=a³=(x/4)³=x³/64
Вас заинтересует
2 года назад
2 года назад
2 года назад
8 лет назад