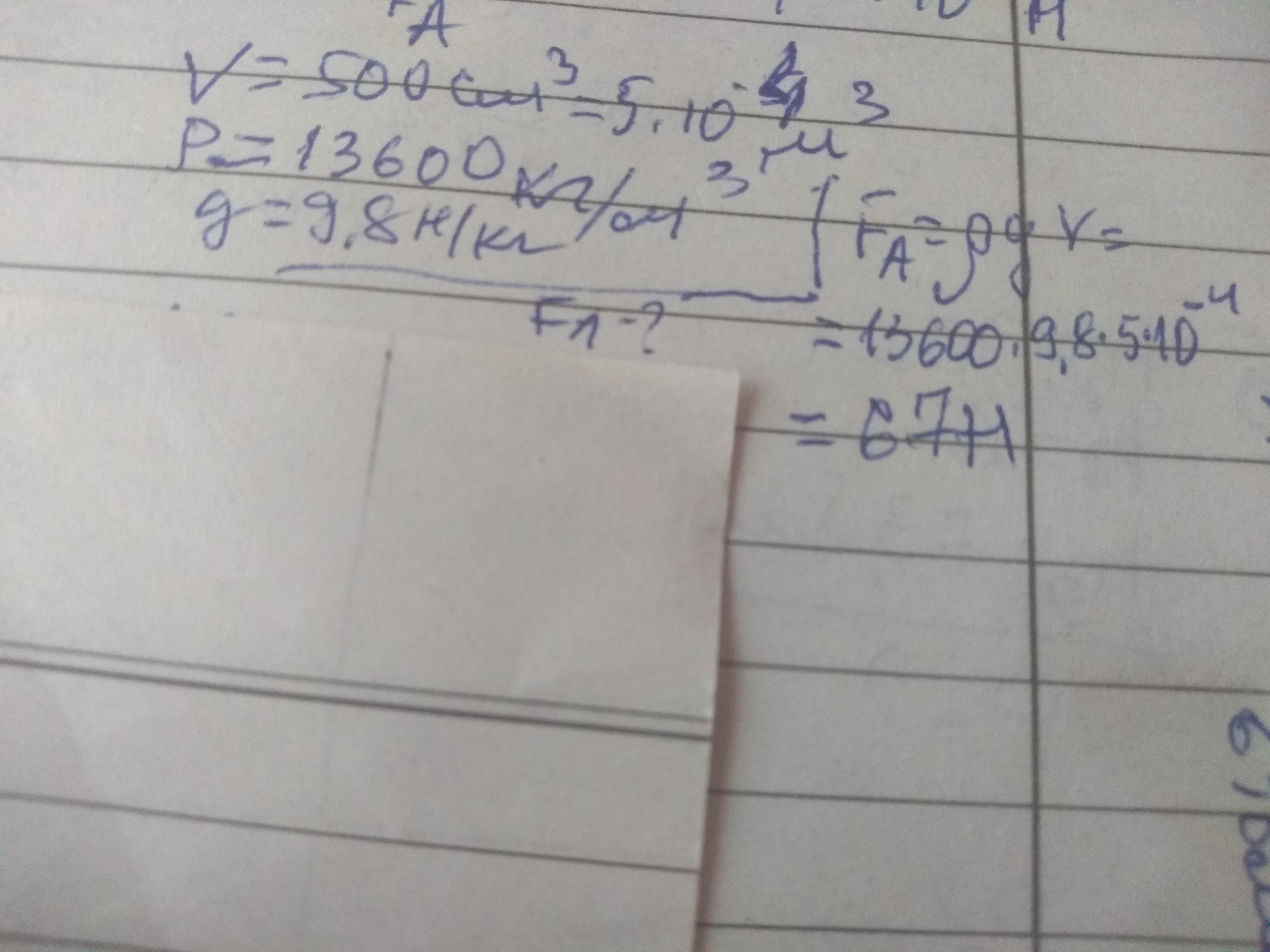
Какая архимедова сила действует на куб объемом 500 см3, плотно
погруженный в ртуть? (13600 кг/м3 - ртуть) (g=9,8 Н/кг)
3 балла
Ответы
Ответ дал:
0
Ответ:
см фото
Объяснение:
Приложения:

Вас заинтересует
2 года назад
2 года назад
2 года назад
2 года назад
8 лет назад
8 лет назад
9 лет назад