Реши уравнение:
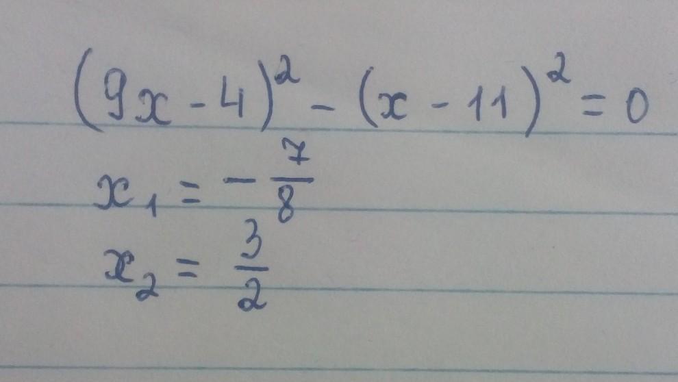
(9x−4)2−(x−11)2=0.
Ответ:
x1=
;x2=
(первым впиши меньший корень).
помогите срочно пж
Приложения:

Ответы
Ответ дал:
1
Ответ: х1= -7/8; х2= 3/2
Приложения:

agaevmazit:
это правильно?
Вас заинтересует
2 года назад
2 года назад
2 года назад
8 лет назад
8 лет назад