• Предмет: Алгебра
  • Автор: alina00833
  • Вопрос задан 3 года назад

Помогите пожалуйста, срочно нужно)

Приложения:

Ответы

Ответ дал: Miroslava227
1

Ответ:

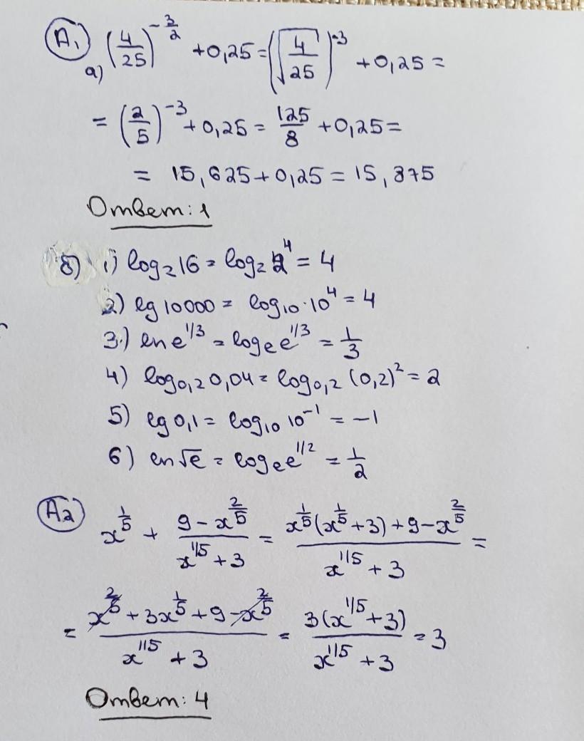
решение на фотографиях

Приложения:

alina00833: Спасибо большое)))
alina00833: Вы можете решить 2 часть?
alina00833: ??
Вас заинтересует