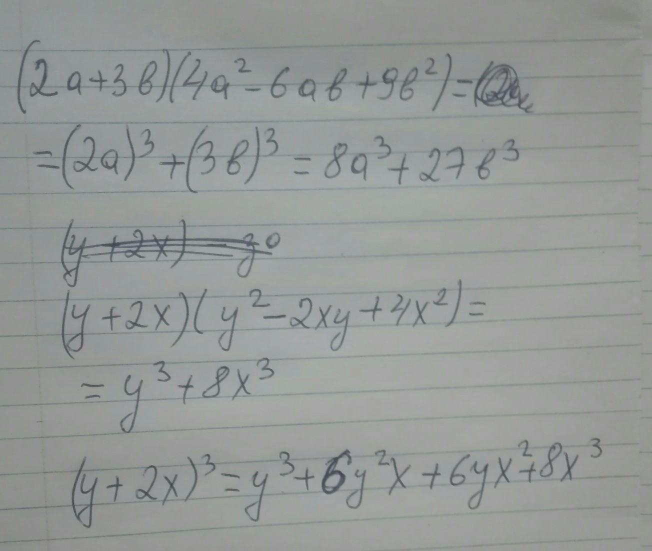
1.Запишите алгебраическое выражение:
а) (2a+3b)(4a”-6ab+9ь?)
в виде суммы кубов двух выражений
b) (y+2х)
в виде многочлена
tamirlanzhanbekov:
ты нашел ответ?
Ответы
Ответ дал:
0
Ответ:
во втором не полная пример
Приложения:

Вас заинтересует
2 года назад
2 года назад
2 года назад
8 лет назад
8 лет назад
9 лет назад