• Предмет: Алгебра
  • Автор: Znanie9339
  • Вопрос задан 3 года назад

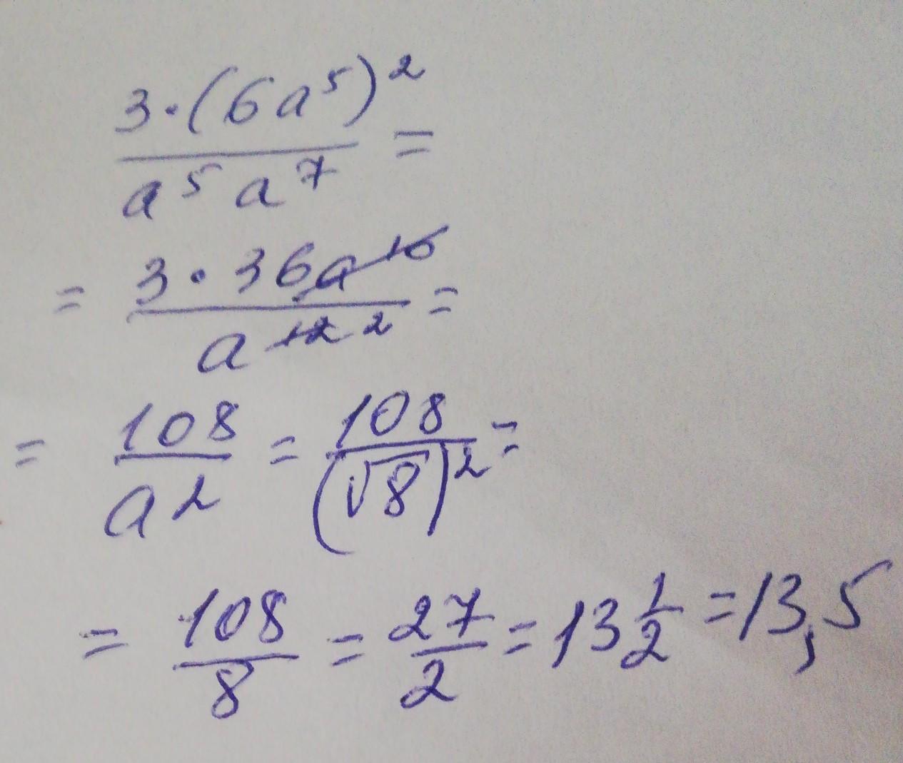
3(6a⁵)²/a⁵a⁷ при a=√8
Найдите значение выражения

Ответы

Ответ дал: serovaksusa1
6

Ответ:

Смотри решение на фото

Приложения:

serpro70: помоги пжж
Вас заинтересует