• Предмет: Алгебра
  • Автор: rendi7
  • Вопрос задан 3 года назад

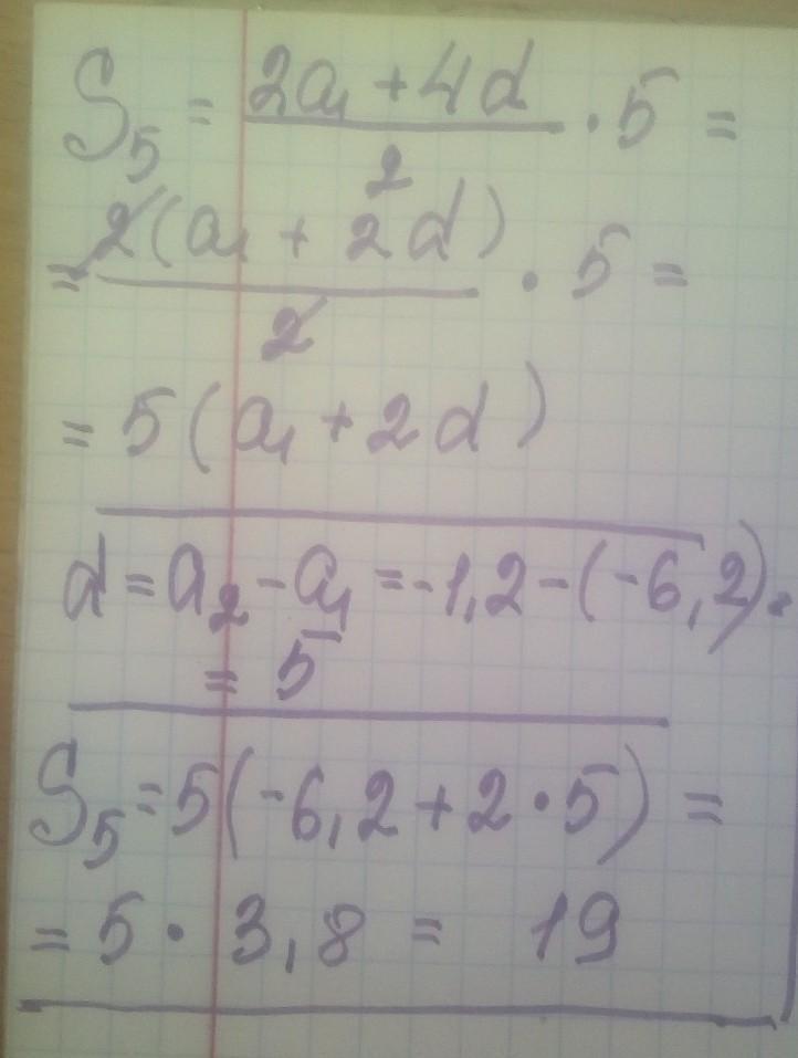
помогите пожалуйста ради бога с алгеброй!!!!Арифметической прогрессии !!!!!​

Приложения:

Ответы

Ответ дал: manyny06
1

Ответ:

решение смотри на фотографии

Приложения:

rendi7: дай бог счастья и здоровья вам
Вас заинтересует