Ответы
Ответ дал:
0
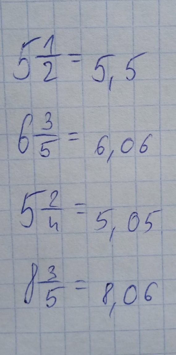
Ответ:
5,5
6,06
5,05
8,06
Вот все ответы на дроби
Приложения:

Вас заинтересует
2 года назад
2 года назад
8 лет назад
8 лет назад
9 лет назад