• Предмет: Алгебра
  • Автор: dishlyukyulya2017
  • Вопрос задан 3 года назад

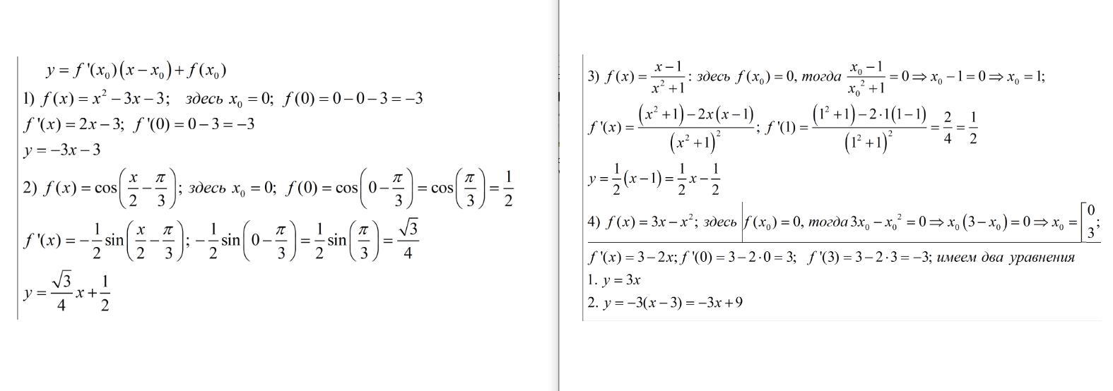
Рівняння дотичної. Запишіть рівняння дотичної до графіка функції f у точці з абзсцисою х0

Приложения:

Ответы

Ответ дал: palilov243659
2

Ответ:

Объяснение:

.....////////

Приложения:
Вас заинтересует