• Предмет: Алгебра
  • Автор: Аноним
  • Вопрос задан 3 года назад

15 балловПЛиз помоги



пожулуйста пж пж
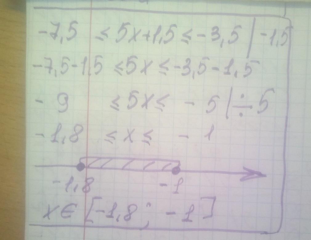
-7.5 ≤ 5x+1.5≤-3.5


Аноним: Пожулуйсто
Аноним: помошите
Аноним: помогите
Аноним: плиз
Аноним: умоляю
Аноним: пж

Ответы

Ответ дал: manyny06
1

Ответ:

решение смотри на фотографии

,

Приложения:

kirilova526: Здравствуйте, помогите мне пожалуйста с тригонометрией
Вас заинтересует