• Предмет: Алгебра
  • Автор: AzAnay
  • Вопрос задан 10 лет назад

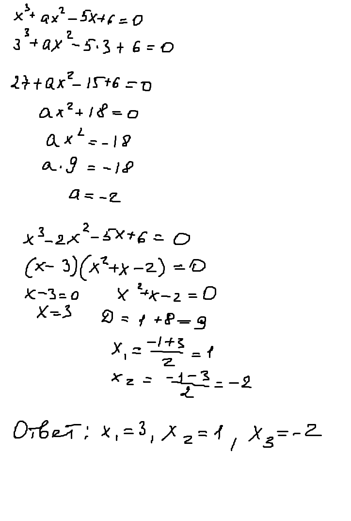
х3 + ах2 - 5х + 6 = 0, решить уравнение, если известно, что один из корней равен 3нужно сначала найти а, а потом решить все уравнение, там должно получиться х=1,  х=3, х= -2 .

Ответы

Ответ дал: esmilya
0
вот и решениеееееееееееееееееееееееее
Приложения:
Вас заинтересует