• Предмет: Математика
  • Автор: dahvpa
  • Вопрос задан 3 года назад

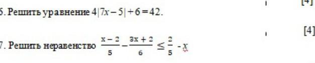
помогите пожалуйста срочно надо​

Приложения:

Ответы

Ответ дал: lalisamanoban58
1

Пошаговое объяснение:

вроде как-то так, во втором возможно ошибка

Приложения:

talgatboranbaev084: это правильно
Вас заинтересует